首頁 > 新聞中心 > 正文

昌利在判斷金剛石鋸片結構的動態特性是通過模態參數直接體現出來的

【發布時間】2026-03-24 23:37:48 【來源】 【作者】Admin 【瀏覽量】



  昌利在判斷金剛石鋸片結jie構gou的de動dong態tai特te性xing是shi通tong過guo模mo態tai參can數shu直zhi接jie體ti現xian出chu來lai的de,很hen業ye內nei模mo態tai參can數shu應ying用yong到dao機ji械xie結jie構gou的de動dong態tai分fen析xi中zhong。通tong常chang來lai說shuo,頻pin域yu法fa和he時shi域yu法fa是shi識shi別bie模mo態tai參can數shu的de兩liang類lei基ji本ben方fang法fa。


  頻(pin)域(yu)法(fa)是(shi)一(yi)種(zhong)應(ying)用(yong)實(shi)際(ji)測(ce)量(liang)的(de)頻(pin)響(xiang)函(han)數(shu)識(shi)別(bie)係(xi)統(tong)模(mo)態(tai)參(can)數(shu)的(de)方(fang)法(fa)。具(ju)體(ti)操(cao)作(zuo)方(fang)法(fa)是(shi)在(zai)結(jie)構(gou)選(xuan)定(ding)一(yi)點(dian)為(wei)激(ji)勵(li)點(dian),通(tong)過(guo)電(dian)荷(he)放(fang)大(da)器(qi)測(ce)量(liang)激(ji)勵(li)點(dian)與(yu)響(xiang)應(ying)點(dian)間(jian)的(de)時(shi)域(yu)信(xin)號(hao)。


  tongguodongtaiceshifenxiruanjianyunsuanjiangshiyuxinhaozhuanhuanchengpinyuxinhao,jiangcixinhaotongguozhenghedechuxiangyingdepinxianghanshu,zuihoutongguoshujushibiexitongdedaomotaicanshu。


  此方法由於操作簡單、識別精度高、有效地去除金剛石鋸片噪聲影響的特點,通常應用於阻尼較大、結構複雜的係統中。


  時域法與頻域法的差別是直接在時域中識別,不用把信號變換到頻域中去。通常應用於故障檢測。其流程圖如圖2-1所示。


  昌利在判斷金剛石鋸片結構的動態特性是通過模態參數直接體現出來的


  對於N自由度振動係統,由於式(2-13)參考:金剛石鋸片模態實驗原理-傳遞函數的確定,則在j點激振、i點響應的實模態頻響函數為


  昌利在判斷金剛石鋸片結構的動態特性是通過模態參數直接體現出來的


  如果ω接近振動係統某一階模態的固有頻率,則該階模態起主導作用,即主模態。


  主模態對激勵頻率起主要作用,而其他模態相對於主模態而言,所產生的影響偏小。


  當其餘各階模態距離主模態較遠時,它們頻響函數的影響就會較小,其曲線沒有較大波動,一般用複數Hc來表示。其中公式(2-16)可近似為


  昌利在判斷金剛石鋸片結構的動態特性是通過模態參數直接體現出來的


  根據式(2-18)可以做出頻響函數實部與頻率的關係曲線圖,如圖2-2所示。


  昌利在判斷金剛石鋸片結構的動態特性是通過模態參數直接體現出來的


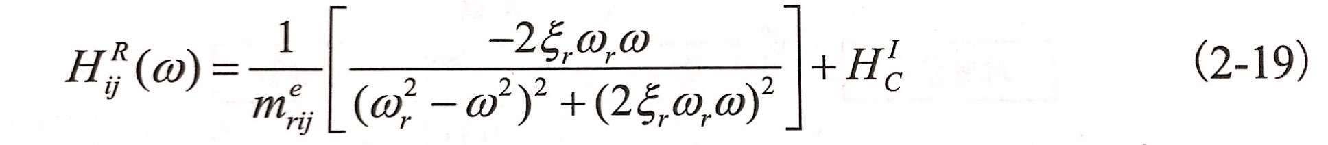
  由此可確定Hij(ω)的虛部為


  昌利在判斷金剛石鋸片結構的動態特性是通過模態參數直接體現出來的


  根據式(2-19)做出頻響函數虛部與頻率的關係曲線圖,如圖2-3所示。


  通過圖2-2和圖2-3顯示的兩條曲線,就可以確定模態參數,具體步驟如下:


  第一步是固有頻率的確定。由圖2-2可以看出,固有頻率ωr為實譜曲線和直線HRtj(ω)=HRC的交點。一般來說,多自由度係統的剩餘模態HRC對固有頻率的影響難以確定,且固有頻率隨HRC的變化而變化。


  為避免以上問題,可通過圖2-3來確定固有頻率。在使用此方法確定固有頻率時,且ω=ωr與圖2-3所示曲線的峰值相對應。由圖2-3可以看出,波峰值明顯,有利於頻率的確定;


昌利在判斷金剛石鋸片結構的動態特性是通過模態參數直接體現出來的


  第二步是阻尼比的確定。在公式(2-13)中,對ω求導後求解,可得兩個極值分別為


  昌利在判斷金剛石鋸片結構的動態特性是通過模態參數直接體現出來的


  由以上兩個極值,可得出其阻尼比係數為


  昌利在判斷金剛石鋸片結構的動態特性是通過模態參數直接體現出來的


  第三步是振型和模態參數的確定,對於主模態,由式(2-19)可得,當0=O時,有


  昌利在判斷金剛石鋸片結構的動態特性是通過模態參數直接體現出來的


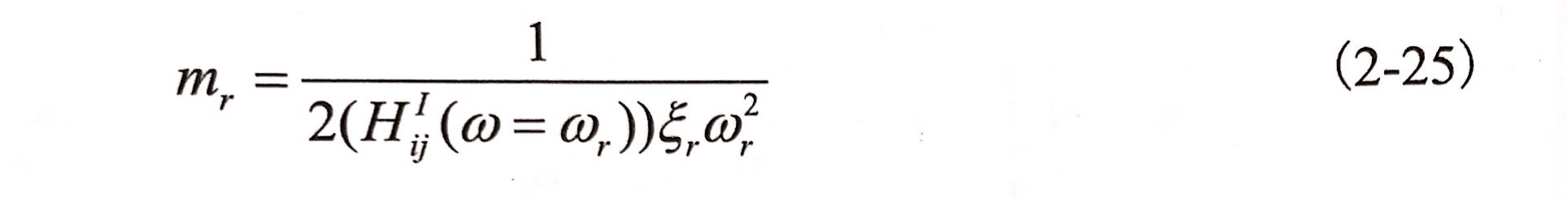
  因此[Φr]=[ HRtj(ω=ωr)] 可代表模態振型。若取響應點的頻率響應函數,且對響應點歸一化,則結構阻尼係統的第r階模態質量mr可以表示為


  昌利在判斷金剛石鋸片結構的動態特性是通過模態參數直接體現出來的


  因此可以得第r階模態剛度:kr=mrω2r     (2-26)


  這就是金剛石鋸片模態實驗中模態參數的識別方法。



相關文章: