首頁 > 新聞中心 > 正文

金剛石鋸片模態實驗原理-傳遞函數的確定

【發布時間】2026-03-24 23:37:51 【來源】 【作者】Admin 【瀏覽量】

  金剛石鋸片模態實驗中傳遞函數的確定:


  對於N自由度的振動係統,假設該阻尼成比例性,在這種簡化情況下,多數是符合實際要求的,對式(2-1)兩邊進行拉普拉斯變換,且假定{x(O)}=0和{x(O)}=0,可得


  金剛石鋸片模態實驗原理-傳遞函數的確定


  式(2-4)中的adt(s)稱作振動係統的特征方程,是Z(s)的行列式。傳遞函數矩陣可通過線性代數計算的方法改寫為


  金剛石鋸片模態實驗原理-傳遞函數的確定


  若s=jω,應(ying)用(yong)拉(la)普(pu)拉(la)斯(si)變(bian)換(huan)轉(zhuan)化(hua)為(wei)傅(fu)裏(li)葉(ye)變(bian)換(huan),通(tong)過(guo)傳(chuan)遞(di)函(han)數(shu)矩(ju)陣(zhen)變(bian)換(huan)成(cheng)頻(pin)響(xiang)函(han)數(shu)矩(ju)陣(zhen),基(ji)於(yu)定(ding)理(li)得(de)到(dao)振(zhen)動(dong)係(xi)統(tong)在(zai)頻(pin)域(yu)內(nei)輸(shu)出(chu)和(he)輸(shu)入(ru)的(de)關(guan)係(xi)可(ke)表(biao)示(shi)為(wei)


  χ(ω) = H(ω)F(ω)       (2-10)


  基於振型矩陣的加權正交條件,假定振型矩陣C可由阻尼矩陣[Φr]對角化則動態矩陣可表示為


  金剛石鋸片模態實驗原理-傳遞函數的確定


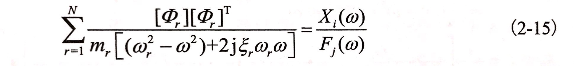
  基於模態參數表示的頻率響應函數:


  金剛石鋸片模態實驗原理-傳遞函數的確定


  公式(2-14)可以概述為j點單獨激振時,i點測得響應函數Χi(t)與激振力fj(t)的傅裏葉比值。由於一般來說Z(S)是對稱矩陣,所以H(ω)稱為矩陣,因此可以得出以下關係式:


  金剛石鋸片模態實驗原理-傳遞函數的確定


  頻(pin)響(xiang)函(han)數(shu)的(de)互(hu)易(yi)性(xing)是(shi)檢(jian)驗(yan)頻(pin)響(xiang)測(ce)試(shi)精(jing)度(du)的(de)一(yi)項(xiang)重(zhong)要(yao)指(zhi)標(biao),由(you)此(ci)說(shuo)明(ming)測(ce)得(de)頻(pin)響(xiang)函(han)數(shu)某(mou)一(yi)矩(ju)陣(zhen)的(de)一(yi)行(xing)或(huo)是(shi)一(yi)列(lie)就(jiu)可(ke)確(que)定(ding)結(jie)構(gou)的(de)全(quan)部(bu)模(mo)態(tai)函(han)數(shu)。


  這就是金剛石鋸片模態實驗傳遞函數的確定方法。

相關文章: